Background:Platelet electron microscopy (PEM) is the diagnostic test for delta storage pool deficiency, a bleeding disorder due to qualitative or quantitative deficiency in dense granules leading to abnormal platelet function. Many people have non-syndromic forms which are challenging to diagnose.
Aims: We aimed to describe the population for whom PEM is sent and correlate PEM results with bleeding phenotype and platelet function testing.
Methods:We performed a single-center, retrospective study including patients who had PEM sent between 2/1/2018 and 8/30/2022 and had a hematology encounter. Demographics, PEM results, platelet aggregation studies, von Willebrand factor (VWF) testing, coagulation studies, genetic testing, and International Society on Thrombosis and Hemostasis Bleeding Assessment Tool (ISTH-BAT) scores were collected. ISTH-BAT was calculated based on the note closest in time to PEM testing. ISTH-BAT was either retrospectively calculated from clinical documentation or extracted as calculated by the clinician during the visit. ISTH-BAT normal range was defined as <4 for adult males, <6 for adult females, and <3 for children (<18 years) (Elbatarny et al., Hemophilia 2014).
Descriptive statistics were used to summarize the results. Pearson's correlation coefficient and a Student's t-test were used for normally distributed data and Spearman rank correlation for non-parametric data. Categorical variables were compared with a Pearson chi-squared test. Statistical analysis included the first PEM result. Alpha<0.05 was considered significant.
Results: There were 92 PEM tests sent from 77 subjects (Table 1). PEM testing was completed at either University of Toledo (N=79, normal range: 4-6 dense granules per platelet [dg/pl]) or Mayo Clinic (N=13, normal range: ≥1.2 dg/pl). Forty-six (60%) subjects had abnormal PEM results. Repeat testing was sent from 15 subjects, 13 of whom had an initial abnormal reported result with 12/13 repeat tests confirmed abnormal. Two initially indeterminant results were repeated with 1 abnormal and 1 normal on repeat.
The mean dense granule per platelet for the cohort was 2.68 (standard deviation [SD] 1.4) dg/pl. The mean dense granules per platelet was 3.9 dg/pl (range 1.8 - 5.47) for subjects with normal PEM results and 1.97 dg/pl (range 0 - 3.39) for those with abnormal results, p<0.001.
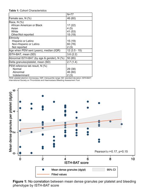
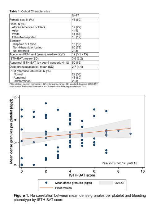
Most ISTH-BATs were retrospectively calculated from clinical documentation (71/77, 92%). The mean ISTH-BAT for the cohort was 3.6 (SD 2.2) and 50/77 (65%) had an elevated ISTH-BAT score for age and gender.
There was no correlation between the ISTH-BAT score and dg/pl (Pearson's r=0.17, 95% CI: -0.60 - 0.379, p=0.15), (Figure 1). There was a weak correlation between dg/pl and ISTH-BAT for female gender (Pearson's r=0.39, 95% CI: 0.105 - 0.611, p=0.009) that is not present with male gender (Pearson's r= -0.057, 95% CI: -0.404 - 0.303, p=0.759). There was no difference between the mean dense granules per platelet for those with a normal ISTH-BAT (2.5 dg/pl, 95%CI: 1.79 - 3.22) and an abnormal ISTH-BAT (2.8 dg/pl 95% CI: 2.45 - 3.10), p=0.48. Similarly, there was no association between ISTH-BAT and PEM results as a binary variable, based on reference lab normal versus abnormal result (chi-squared p=0.22).
Seventy-three platelet function tests were performed in 74% (57/77) of the cohort. The majority (43/57, 75%) had only one platelet function test. Most were whole blood impedance lumi-aggregometry (WBILA) (65/73, 89%); 8 were light transmission aggregometry. The first platelet function test was abnormal in 42% (24/57) of those tested. In the 49 subjects with WBILA as their first test, the most common abnormality was ADP secretion (N=20). ADP secretion values are not correlated with dg/pl (Spearman's r=0.28, p=0.05).
At least one set of VWF tests were sent in 79% of the cohort (61/77). Two subjects were diagnosed with VWD, one of whom had a reported abnormal PEM result (2.96 dg/pl) and an ISTH-BAT of 7. The other had a normal EM result (4.38 dg/pl) and an ISTH-BAT of 4.
Conclusions:There was no association between platelet EM results and bleeding phenotype by ISTH-BAT in the overall pediatric cohort, however there was a weak correlation between bleeding score and dg/pl in female gender. There was also no correlation between dg/pl and ADP secretion. Future work will focus on the utility of platelet EM testing in pediatrics and identifying subpopulations who may benefit from this test.
Disclosures
Raffini:Boeringer Ingelheim: Membership on an entity's Board of Directors or advisory committees; Janssen: Membership on an entity's Board of Directors or advisory committees; Genetech: Membership on an entity's Board of Directors or advisory committees. Lambert:Sysmex: Research Funding; Janssen: Consultancy; Sanofi: Consultancy; Sobi: Consultancy; Argenx: Consultancy, Research Funding; Novartis: Consultancy, Research Funding; Shionogi: Consultancy, Membership on an entity's Board of Directors or advisory committees; Rigel: Consultancy, Membership on an entity's Board of Directors or advisory committees; Principia: Consultancy, Membership on an entity's Board of Directors or advisory committees, Research Funding; Dova: Consultancy, Membership on an entity's Board of Directors or advisory committees, Research Funding; Octapharma: Membership on an entity's Board of Directors or advisory committees, Research Funding.

This feature is available to Subscribers Only
Sign In or Create an Account Close Modal